});
sản phẩm
ứng dụng
Thiết kế tham khảo
chất lượng
ủng hộ
tin tức
về chúng tôi
Login

Đèn pha

Xây dựng Semiware vào mạch ứng dụng của bạn

Summary Application Circuit Diagram Documents Other

Summary

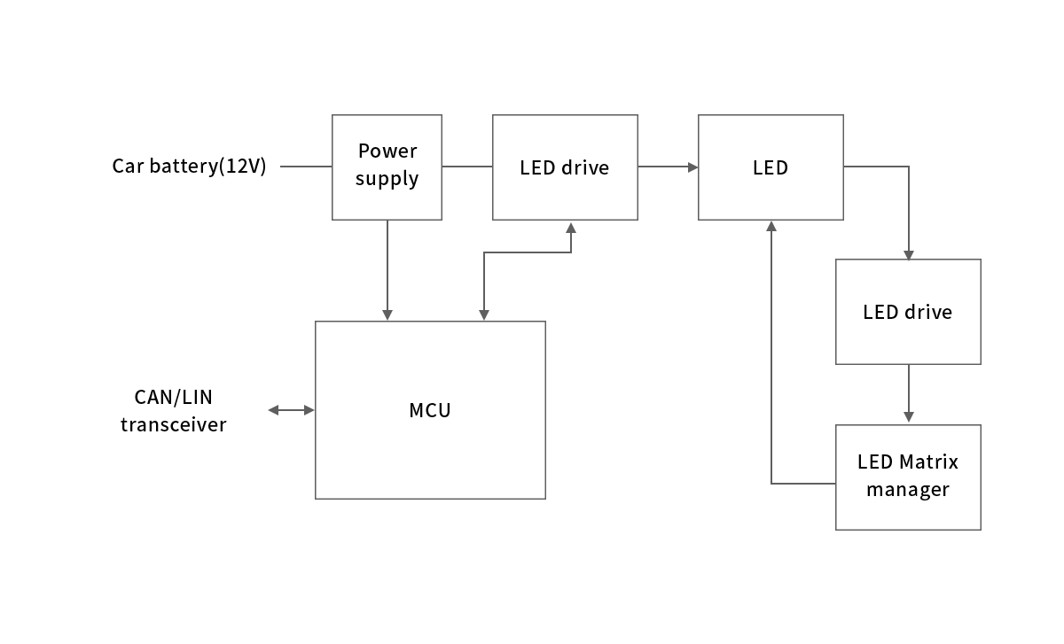
Đèn pha ô tô thường sử dụng đèn LED để chiếu sáng đường, với các điều chỉnh tự động để cân bằng, xoay và chuyển đổi giữa đèn pha và đèn cốt. Các mối nguy hiểm thường gặp trong mạch điện bao gồm xả tải, xung điện áp, phóng tĩnh điện và đoản mạch. Việc bảo vệ mạch điện thường bao gồm việc sử dụng các sản phẩm như cầu chì có thể phục hồi, điốt TVS và bộ triệt tĩnh điện (ESD).

Application Circuit Diagram

Find products and reference designs suitable for your system

Đèn pha

Related Documents

File Name Category Date Download

Other Related

ADAS Bộ chuyển đổi xe Trung tâm truyền thông Đèn nội thất Bộ sạc DC PTC Bộ sạc AC BMS Bộ sạc trên xe Lưu trữ năng lượng