});
sản phẩm
ứng dụng
Thiết kế tham khảo
chất lượng
ủng hộ
tin tức
về chúng tôi
Login

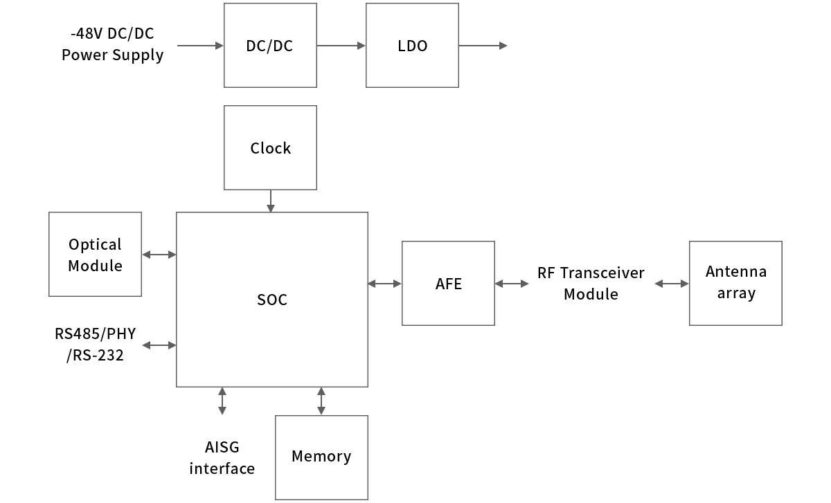
RRU

Xây dựng Semiware vào mạch ứng dụng của bạn

Summary Application Circuit Diagram Documents Other

Summary

Một giao diện tương tự tích hợp cao với băng thông rộng hơn và hoạt động đa tần số; quản lý năng lượng mật độ cao có khả năng hoạt động ở nhiệt độ môi trường cao; và đồng bộ hóa mạng thông qua giao diện fronthaul dựa trên gói tin.

Application Circuit Diagram

Find products and reference designs suitable for your system

RRU

Other Related

Hộp giải mã tín hiệu PBX BBU Tế bào nhỏ AP ngoài trời Trạm gốc di động Nguồn điện Hệ thống ăng-ten xDSL